Fisher's Blog

Sein heißt Werden
Leben heißt Lernen

0%

Tensorflow RNN

RNN
LSTM

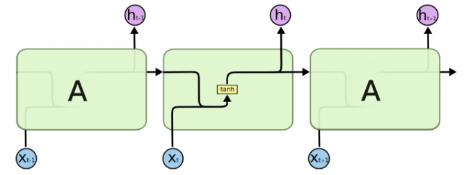
循环神经网络 (Recurrent Neural Networks RNN) 作为一种序列模型非常适合用在处理数据之间有着时间顺序的问题,比如自然语言处理 (NLP) ,Tensorflow 将 RNN 中循环的网络封装为一个细胞 (cell) ,本文简单介绍一下如何构建一个长短期记忆 (Long Short-Term Memory LSTM) 网络。

单层 LSTM

以自然语言处理为例,一句话可以看成一个序列,如果我们使用批处理,那输入的数据应该为多个句子。假设有 batch_size 个句子,每个句子有 num_steps 个单词,相当于 RNN 的时间序列长度为 num_steps ,每个单词以 one-hot 形式储存,总共有 input_size 个单词,那么每个单词就代表长度为 input_size 的向量中的一个元素,也就是图中 x 向量的长度。可以看出,Tensorflow 中,RNN 输入的张量应该是一个三维张量 (batch_size, num_steps, input_size)

1
inputs = tf.placeholder(tf.float32, shape=(batch_size, num_steps, input_size))

首先,先定义一个 LSTM 细胞,它的大小为输出的向量长度 lstm_size ,也就是图中 h 向量的长度:

1
rnn_cell = tf.nn.rnn_cell.BasicLSTMCell(lstm_size)

设置初始化的状态,该状态是一个长度为 N 的元组,具体参考再下一行代码的 state

1
initial_state = rnn_cell.zero_state(batch_size, dtype=tf.float32)

定义 RNN :

1
2
3
4
outputs, state = tf.nn.dynamic_rnn(cell=rnn_cell,
inputs=inputs,
initial_state=initial_state,
dtype=tf.float32)

其中 outputs 为 RNN 的输出,维度为三维,前两维是输入的 batch_sizenum_steps ,第三维是传入 cell 的大小,这里的大小为 lstm_size 所以此时的输出维度与输入一样。 state 为 LSTM 循环中间产生的记忆状态,是一个长度为 N 的元组,要看整个 RNN 网络有几层组成,在上述代码中,只有一层 LSTM ,而一层 LSTM 会产生两个记忆状态,所以此时的 N 为 2,维度都为为 (batch_size, lstm_size) ,可以传递到下一次的循环中,成为下一次的初始状态。

多层 LSTM

1
2
3
4
5
6
7
rnn_layers = [tf.nn.rnn_cell.LSTMCell(size) for size in [lstm_size1, lstm_size2]]
multi_rnn_cell = tf.nn.rnn_cell.MultiRNNCell(rnn_layers)
initial_state = multi_rnn_cell.zero_state(batch_size, dtype=tf.float32)
outputs, state = tf.nn.dynamic_rnn(cell=multi_rnn_cell,
inputs=inputs,
initial_state=initial_state,
dtype=tf.float32)

这里我们定义了双层 LSTM 网络,第一层的输出长度为 lstm_size1 ,接着传给第二层输出 lstm_size2 ,使用 MultiRNNCell 函数拼接 。此时 outputs 的维度为 (batch_size, num_steps, lstm_size2) ,由于是两层 LSTM ,每层 LSTM 会产生两个状态,所以 state 为一个四元组,前两个维度为 (batch_size, lstm_size1) ,后两个为 (batch_size, lstm_size2)